
在钢结构防火涂料营销中,经常会遇见钢结构防火设计人员、钢结构防火涂装工程监理人员或者是其它人士会问到,关于某个非膨胀型钢结构防火涂料导热系数或某个膨胀型钢结构防火涂料的等效热阻问题。而这二个参数在钢结构防火涂料型式试验报告或型式检验报告中没有直接表明。营销人员或防火涂料技术人员有很多人不知怎么得到这二个技术参数,不能明确告知对方。甚至有的人要求防火涂料生产企业专门针对非膨胀型钢结构防火涂料导热系数或某个膨胀型钢结构防火涂料的等效热阻做检验。其实,完全没有这个必要。

在《建筑钢结构防火技术规范》(GB51249-2017)给出了非膨胀型防火涂料的等效热传导系数和膨胀型防火涂料防火保护层的等效热阻的计算方法,我们可以根据这种方法,结合钢结构防火涂料产品的式试验报告或型式检验报告载明的有关数据,计算出非膨胀型防火涂料的等效热传导系数和膨胀型防火涂料防火保护层的等效热阻系数。具体方法如下:
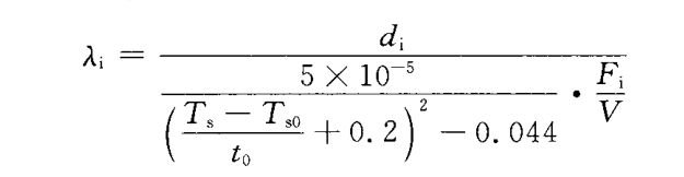
1.非膨胀型防火涂料的等效热传导系数
非膨胀型防火涂料的等效热传导系数,可根据标准耐火试验得到的钢试件实测升温曲线和试件的保护层厚度按下式计算:

式中:λi——等效热传导系数(W/m·℃);
di——防火保护层的厚度(m);
Fi/V——有防火保护钢试件的截面形状系数(m-1),耐火性能试验符合建筑纤维类火灾升温试验条件,采用GB/T706-2016规定的36b热轧工字钢作为基材,截面系数为126m-1;
Ts0——开始时钢试件的温度,可取20℃;
Ts——钢试件的平均温度(℃),取540℃;
t0——钢试件的平均温度达到540℃的时间(s)。
2.膨胀型防火涂料防火保护层的等效热阻

式中:Ri——防火保护层的等效热阻(对应于该防火保护层厚度)(m2·℃/W);
Fi/V——有防火保护钢试件的截面形状系数(m-1),耐火性能试验符合建筑纤维类火灾升温试验条件,采用GB/T706-2016规定的36b热轧工字钢作为基材,截面系数为126m-1;
Ts0——开始时钢试件的温度,可取20℃;
Ts——钢试件的平均温度(℃),取540℃;
t0——钢试件的平均温度达到540℃的时间(s)。
例如:斯凯肯(中国)集团股份有限公司生产的型号为GT-NSP-Fp2.00-Skyeken3M-2.5hindoor的室内膨胀型钢结构防火涂料。其型式试验报告中载明,耐火性能试验,基准隔热效率(涂层厚度2.01mm):86min。即,在涂层厚度2.01mm时,采用普通升温曲线试验,温度从20℃升至540℃或钢梁挠度达到规定值(也相当于温度升至540℃),用时86min×60s/min=5160s
根据上述计算公式,经计算:Ri=0.135584(m2·℃/W)
即,斯凯肯(中国)集团股份有限公司生产的型号为GT-NSP-Fp2.00-Skyeken3M-2.5hindoor/室内膨胀型钢结构防火涂料的等效热阻为:0.135584m2·℃/W。